728x90
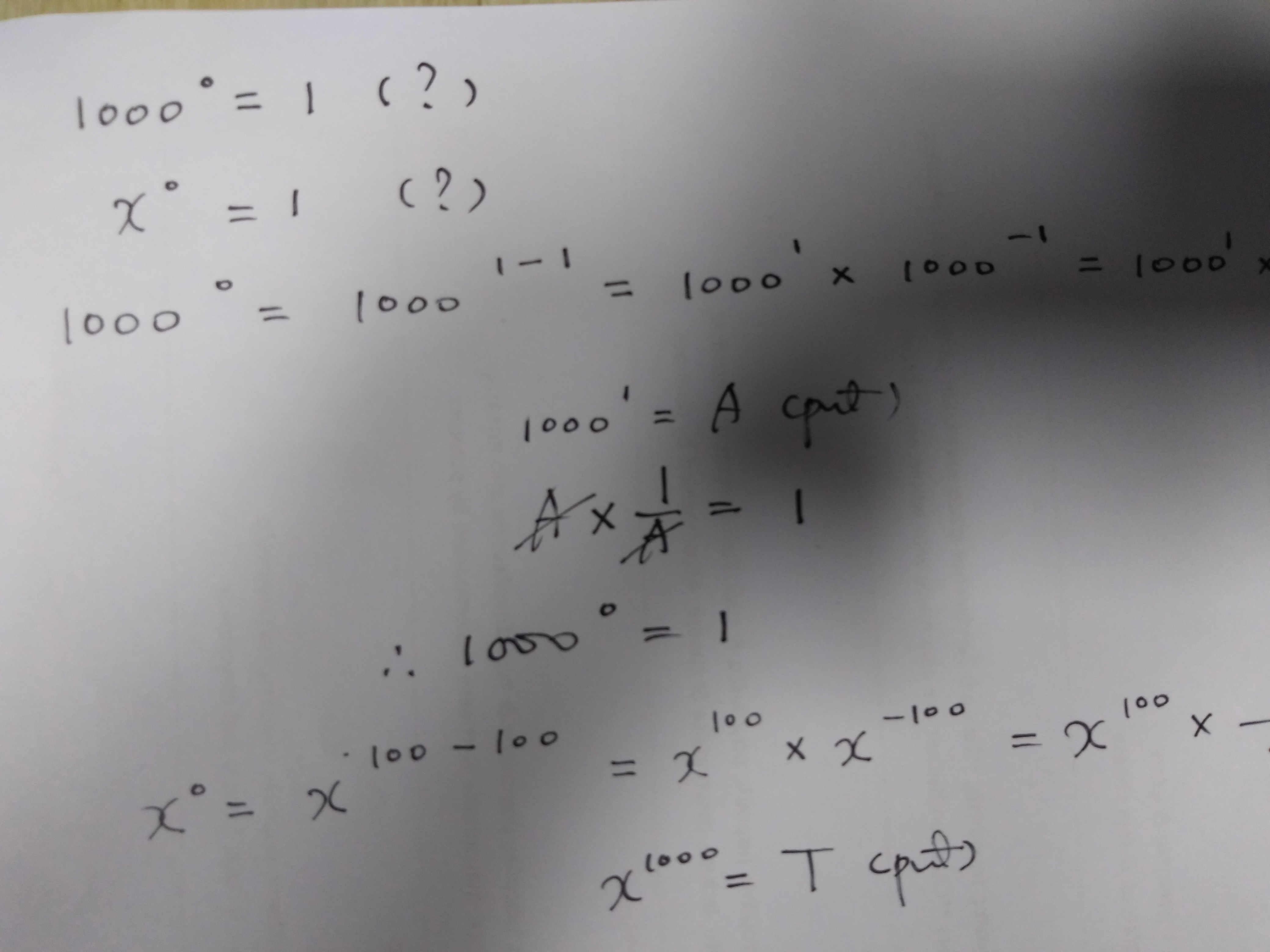
In mathematics, 1˚ = 1 was proven by solving a problem.
수학에서 1˚ = 1 을 문제 풀이로 증명했습니다.
数学では、問題を解くことで 1˚ = 1 が証明されました。
在数学中,1° = 1 是通过解决问题来证明的。
Στα μαθηματικά, το 1˚ = 1 αποδείχτηκε με την επίλυση ενός προβλήματος.
В математике 1˚ = 1 было доказано решением задачи.
En matemáticas, 1˚ = 1 se demostró resolviendo un problema.
https://www.youtube.com/watch?v=b52rdb8-9j0






https://www.youtube.com/watch?v=b52rdb8-9j0
'대학편입수학' 카테고리의 다른 글
| 편입수학 문제가 쉽지 않습니다. (0) | 2025.12.17 |
|---|