728x90
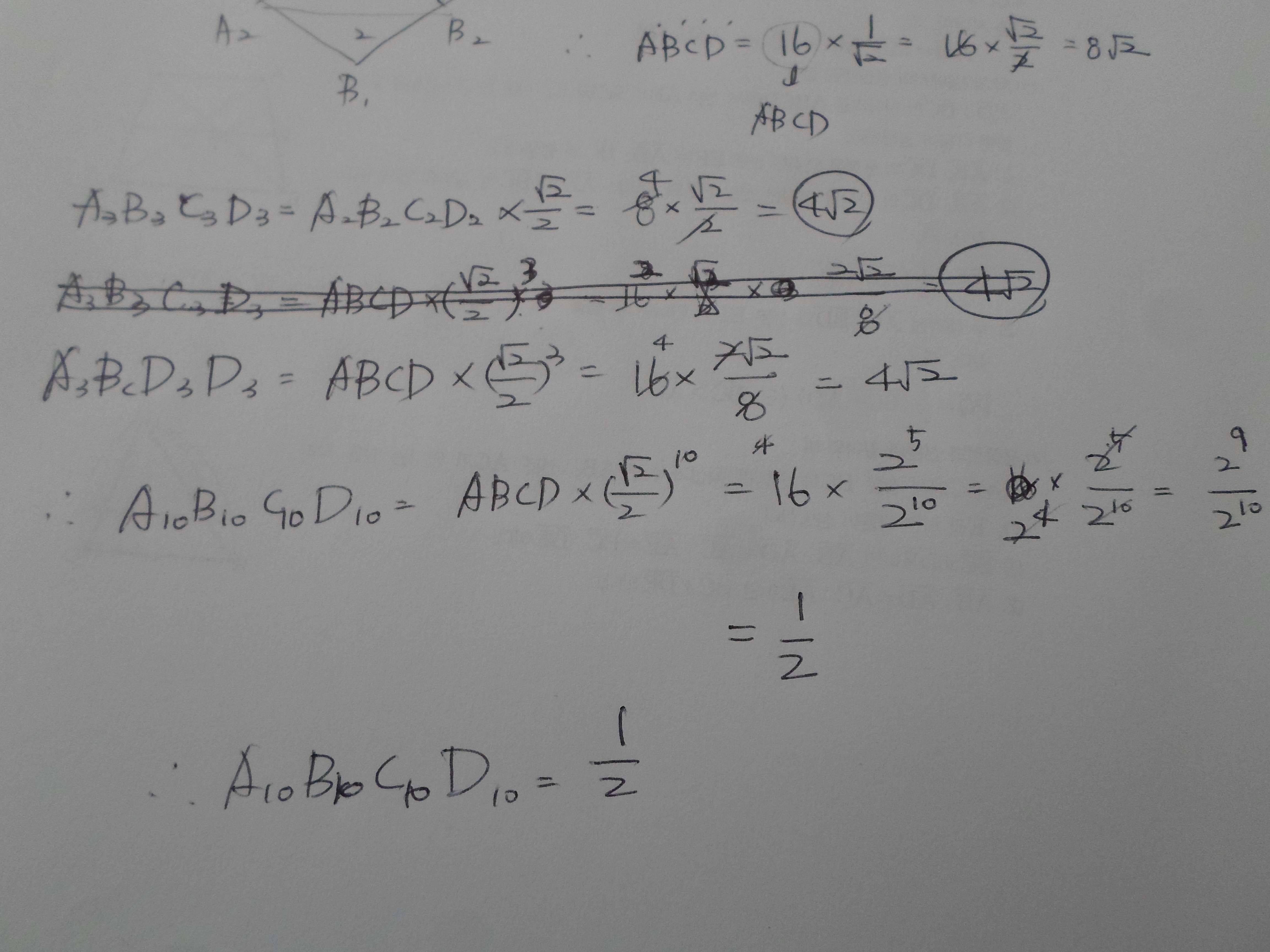
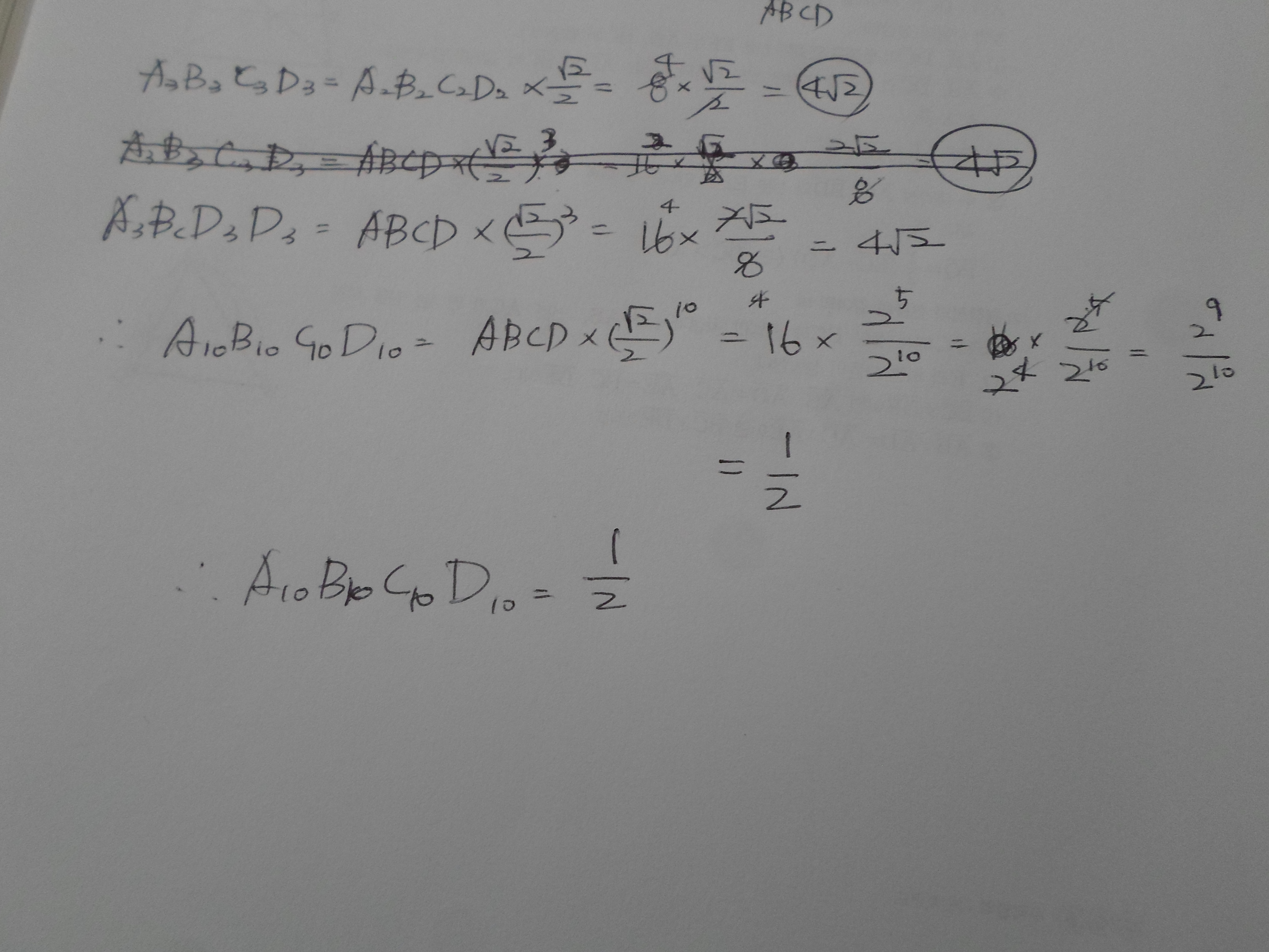
등비수열과 사각형 둘레를 이용한 수학문제입니다.




'고등학교 수학 > 1학년' 카테고리의 다른 글
| 고등학교 1학년 수학 다항식의 연산 문제 입니다. (0) | 2024.04.21 |
|---|---|
| 기본 수학의 정석 기하 수학문제집을 소개합니다. (0) | 2024.03.27 |
| 기본 수학의 정석 수학 1 좋아요~~~ (0) | 2024.01.12 |
| 고등학교 1학년 수학문제 풀이입니다. (0) | 2024.01.12 |
| 고등학교 1학년 수학문제 풀이입니다. (0) | 2024.01.12 |